GELOMBANG CAHAYA
3 min read
Materi Fisika Kelas XI Semester II

Cahaya berdasarkan arah rambatannya merupakan gelombang transversal, sedangkan berdasarkan medium rambatannya merupakan gelombang elektromagnetik.
1. Interferensi Cahaya
Interferensi cahaya adalah perpaduan dua buah gelombang cahaya yang koheren. Cahaya dikatakan koheren apabila frekuensi dan amplitudo kedua gelombang sama dan beda fasenya tetap.
a. Interferensi celah ganda
Terjadi Interferensi maksimum (pola garis terang) pada layar (di titik P), apabila nilai C2P – C1P memenuhi hubungan:

atau:

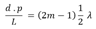
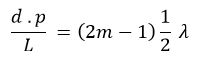
Terjadi Interferensi minimum (pola garis gelap) pada layar (di titik P), apabila nilai C2P – C1P memenuhi hubungan:

atau:

Keterangan:
d : jarak antar kedua celah (m)
L : jarak celah ke layar (m)
m : orde garis terang atau garis gelap ( 1, 2, 3, … )
p : jarak garis terang atau garis gelap ke terang pusat (m)
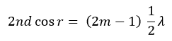
b. Interferensi Selaput Tipis

Sinar pantul BC dan sinar bias EF merupakan sinar yang koheren, dan jika dilewatkan pada lensa cembung maka terjadi interferensi di titik P.
Terjadi Interferensi maksimum (pola garis terang) di titik P, jika memenuhi persamaan:

Terjadi Interferensi minimum (pola garis gelap) di titik P, jika memenuhi persamaan:

Keterangan:
d : tebal lapisan (m)
n : indeks bias lapisan
r : sudut bias
m : orde garis terang atau garis gelap ( 1, 2, 3, … )
2. Difraksi Cahaya
Difraksi cahaya adalah pembelokan arah rambat cahaya ketika melewati celah yang sempit. Pada difraksi juga terjadi interferensi. Difraksi cahaya dapat terjadi pada celah tunggal dan kisi (celah banyak).
a. Difraksi pada Celah Tunggal

Terjadi Interferensi maksimum (pola garis terang) pada layar (di titik P), apabila nilai BP – AP memenuhi hubungan:

atau:

Terjadi Interferensi minimum (pola garis gelap) pada layar (di titik P) , apabila nilai BP – AP memenuhi hubungan:

atau:

b. Difraksi pada Kisi
Kisi adalah sebuah susunan dari sejumlah besar celah sejajar yang lebar dan jarak antar celahnya sama. Kisi-kisi dapat dibuat dengan menggunakan sebuah ujung intan untuk menggoreskan banyak alur yang berjarak sama (presisi tinggi) pada sebuah kaca atau permukaan logam. Jika seberkas cahaya monokromatis dilewatkan pada kisi, pola difraksi yang dihasilkan pada layar berupa garis terang dan garis gelap secara bergantian. Pola difraksi yang dihasilkan oleh kisi jauh lebih tajam dibandingkan dengan interferensi celah ganda. Semakin banyak celah pada sebuah kisi yang memiliki lebar yang sama, semakin tajam pola difraksi yang dihasilkan pada layar.

Terjadi Interferensi maksimum (pola garis terang) pada layar (di titik P), apabila memenuhi hubungan:

atau:

Terjadi Interferensi minimum (pola garis gelap) pada layar (di titik P) , apabila memenuhi hubungan:

atau:

3. Polarisasi Cahaya
Polarisasi cahaya adalah terserapnya sebagian cahaya pada salah satu bidang datarnya. Polarisasi hanya dapat terjadi pada gelombang transversal. Jenis – jenis polarisasi di antaranya polarisasi linear, polarisasi sebagian, polarisasi lingkaran, dan polarisasi eliptik.
Polarisasi cahaya dapat terjadi karena faktor – faktor berikut:
- polarisasi karena pemantulan
- polarisasi karena pembiasan
- polarisasi karena pembiasan ganda
- polarisasi karena absorpsi selektif
Untuk lebih lengkapnya bahan ajar Fisika tentang Gelombang Cahaya disertai contoh soal dan pembahasan serta soal-soal latihan, filenya dapat didownload di bawah ini:
Bahan Ajar Gelombang Cahaya (download di sini)
Semoga bahan ajar ini bermanfaat dalam pembelajaran Fisika di Sekolah.
Teruslah semangat belajar Fisika, karena Fisika itu Mudah dan Asik.