Edulicious

Berbagi Berbagai Informasi Pengetahuan

GERAK HARMONIK SEDERHANA

2 min read
Materi Fisika kelas X Semester II Gerak harmonik sederhana (GHS) didefinisikan sebagai gerak bolak-balik alamiah secara beraturan melewati titik keseimbangan. Dalam kehidupan sehari-hari gerak harmonik sederhana sering disebut dengan istilah getaran harmnik. Getaran harmonik yang dialami oleh suatu benda terjadi karena adanya gaya pemulih(recovering force)yang bekerja pada tersebut, yang besarnya sebanding dengan besarnya simpangan “getaran dan arahnya selalu menuju titik seimbang.

Besaran– besaran pada Getaran Harmonik1. Frekuensi dan Periode GetaranFrekuensi(f) adalah banyaknya getaran
yang terjadi dalam setiap satu detik. Secara matematis dirumuskan:

Periode(T)adalah waktu yang diperlukan oleh suatu benda untuk bergetar satu kali getaran. Secara matematis dirumuskan:
Hubungan frekuensi


dengan periode dirumuskan:


Keterangan: f: frekuensi getaran(Hz) T: periode getaran (s) N: banyaknya getaran t:


waktu getaran( s)

2. Simpangan Getaran

Simpangan getaran didefinisikan sebagai jarak yang ditempuh benda selama bergetar diukur dari titik seimbang


.



Dari gambar di atas, besarnya simpangan( y) dirumuskan:


Keterangan:

y: simpangan getaran(m) A: simpangan maksimum(Amplitudo)( m)

: sudut fase getaran(radian)

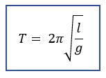
: frekuensi sudut(rad/s Besarnya sudut fase dirumuskan: Frekuensi sudut getaran dirumuskan: ” 3. Kecepatan Getaran (v) Kecepatan getaran merupakan turunan (diferensial) pertama dari simpangan kegataran, yang dirumuskan: 4. Percepatan Getaran (a) Percepatan getaran merupakan turunan (diferensial) kedua dari simpangan, atau diferensial pertama dari kecepatan getaran, yang dirumuskan: 5. Fase dan Beda Fase Getaran Fase getaran dirumuskan: Beda fase getaran: Beda sudut fase getaran: 6. Energi Potensial Getaran Energi potensial getaran harmonis dirumuskan: Energi potensial maksimum terjadi saat benda berada di simpangan maksimum 7. Energi Kinetik Getaran Energi kinetik getaran harmonis dirumuskan: Energi kinetik maksimum terjadi saat benda bergerak melewati titik seimbang 8. Energi Total Getaran Energi total (Mekanik) getaran harmonis dirumuskan: Getaran Harmonik Pada Pegas Gaya Pemulih Pada Pegas Frekuensi Sudut Getaran Pegas Frekuensi Getaran pada Pegas Periode Getaran pada Pegas Getaran Harmonik Pada Bandul Matematis Gaya Pemulih Pada Bandul Frekuensi Sudut Getaran Bandul Frekuensi Getaran pada Bandul Periode Getaran pada Bandul Untuk lebih lengkapnya bahan ajar Fisika tentang Gerak Harmonik Sederhana (GHS) disertai contoh soal dan pembahasan serta soal-soal latihan, filenya dapat didownload di bawah ini: Bahan Ajar Gerak Harmonik Sederhana ( download di sini ) Semoga bahan ajar ini bermanfaat dalam pembelajaran Fisika di Sekolah. Teruslah semangat belajar Fisika, karena Fisika itu Mudah dan Asik.

About Author

Leave a Reply

Your email address will not be published. Required fields are marked *