Pembahasan Soal KSM Fisika MA Tk. Kota/Kabupaten Tahun 2019 Nomor 16 – 20
3 min read
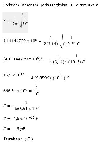
Nomor 16 Pada tahun 2018 di laboratorium UIN Kementerian Agama RI telah dibuat suatu alat yang dapat mengukur kapasitansi lemak babi untuk kebutuhan pangan halal yang terbebas dari bahan haram. Alat ini bekerja berdasarkan prinsip resonansi rangkaian LC. Jika induktor yang digunakan adalah 1, dan frekuensi yang terbaca oleh frekuensi meter sebesar 4,11144729 MHz. Tentukan kapasitansi lemak babi tersebut!
( A)0.5( B)1.0(C)1.5
(D) 2.0 Penyelesaian:
Nomor 17
Dalam Kitab at-Turuq as-Saniyya fi al-Alat ar-Ruhaniyya, Taqi al-Din Muhammad ibn Ma’ruf ash-Shami al-Asadi (1526-1585) memperkenalkan penerapan mesin uap untuk menggerakan pemanggang daging. Jika mesin uap Taqi al-Din bekerja pada suhu 327 °. Mesin ini mengubah air menjadi uap yang menghasilkan usaha untuk menggerakan baling-baling pemutar pemanggang daging. Suhu diluar mesin pada saat itu adalah 27 °. Jika mesin ini menyerap kalor sebesar 600 dan 60%usaha maksimum yang dilakukan oleh mesin tersebut digunakan menjadi energi kinetik putaran baling-baling yang memiliki momen inersia 0.04∙ ^ 2, maka kecepatan sudut yang dihasilkannya adalah …(A)30 √ 10/(B)15 √ 10/(C) 7 √ 10/(D)3 √ 10/ Penyelesaian: Nomor 18 Hasan ar-Rammah Najm al-Din al-Ahdab(Meniggal tahun 1295 M)Ilmuwan Islam yang berasal dari Syam pada sekitar tahun 1275 M membuat teknologi
roket(torpedo)dan berbagai teknologi militer lainnya yang tertuang dalam Kitab al-Furusiya wa al-Manasib al-Harbiya. Sebuah roket ar-Rammah pada saat bermassa bergerak horizontal diatas permukaan laut dengan kecepatan(kerangka acuan pengamat ditempat peluncuran, serta abaikan gesekan antara roket dan permukaan air).
Pada saat posisi+Δ, massa roket berkurang sebesar − Δ tetapi kecepatan roket bertambah menjadi+Δ (kerangka acuan pengamat ditempat peluncuran), karena adanya pembuangan bahan bakar sebesar Δ yang menyembur dengan kecepatan berlawanan arah dengan roket (kerangka acuan roket ). Kecepatan roket tiap satuan waktu adalah … Penyelesaian: Nomor 19 Abu Rayhan Muhammad ibn Ahmad al-Biruni (973-1050 M) dalam karyanya yaitu Kitab Ifrad al-Maqal fi Amr al-Zilal melakukan penghitungan ketinggian ℎ (vertikal) gunung dengan melakukan dua pengukuran sudut dari posisinya berpijak ke arah puncak gunung (1 dan 2) dengan jarak antara dua pengukuran tersebut sebesar. Kemudian al-Biruni menentukan jari-jari bola bumi yang berguna untuk penentuan gravitasi bumi dengan mengukur sudut horizon dari puncak sebuah gunung yang telah dilakukan penghitungan ketinggiannya ℎ yang tercantum dalam kitabnya yang lain yaitu Kitab Tahdid Nihayat al-Amakin Litashih Masafat al-Masakin. Jari-jari bumi tersebut adalah …
Penyelesaian: < div course ="separator"design ="clear: both; font-weight:
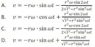
strong; text-align: left;”> Nomor 19 Dalam Kitab fi ma ‘rifat al-hiyal alhandasiya, Abu al- ‘Izz ibn Isma’il ibn ar-Razaz al-Jazari (1136– 1206 M) membuat sistem engkol-piston sebagai penggerak pompa air. Dalam teknologi modern sistem engkol-piston diadopsi dalam berbagai mesin berbahan bakar. Berikut adalah gambar karya al-Jazari dan model mekanisme sistem engkol-piston. Lingkaran engkol dapat bergerak rotasi dengan kecepatan sudut terhubung dengan piston yang bergerak translasi dengan kecepatan. Berdasarkan desain tersebut, diketahui jari-jari engkol sebesar, batang penghubung engkol dan piston panjangnya adalah. Kecepatan translasi piston sepanjang garis adalah …
Penyelesaian:
< img border ="0" data-original-height ="687"data-original-width=" 526" elevation="
737″src=”https://1.bp.blogspot.com/-aOyu20gZPAI/X5A1WVRXKVI/AAAAAAAABhY/apnrO7JOvV4jS1sw6pkbXvbTbi7ebYGNwCLcBGAsYHQ/w564-h737/jksm20b.JPG”width=”564″/ > Semoga pembahasan ini bermanfaat.Jangan lupa lihat juga: Pembahasan Soal KSM Fisika MA Tk. Kota/Kabupaten Tahun 2019 Nomor 1-
5 Pembahasan Soal KSM Fisika MA Tk. Kota/Kabupaten Tahun 2019 Nomor 6 – 10 Pembahasan Soal KSM Fisika MA Tk. Kota/Kabupaten Tahun 2019 Nomor 11 -15